Spis treści
ROCZNIKI NAUKOWE AWF W POZNANIU
Zeszyt 53 – 2004
JACEK JÓŹWIAK
Spis treści
(Organisation of basketball teams according to their sports level using a set taxonomic model)
Zakład Zespołowych Gier Sportowych, AWF w Poznaniu
Słowa kluczowe: koszykówka, analiza gry, statystyka, taksonomia.
Key words: basketball, analysis of the game, statistics, taxonomy.
Próby obiektywizacji oceny gry zespołów są jednym z kierunków badawczych w zespołowych grach sportowych. Prezentowane przez różnych autorów metody rejestracji, oceny oraz analizy gry najczęściej opierają się na różnych wskaźnikach efektywności i skuteczności gry. Są one wyznaczane na podstawie danych pochodzących często z autorskich arkuszy obserwacji. W ostatnim czasie dość powszechnie stosuje się programy komputerowe, które oprócz funkcji rejestracyjnej, dokonują obliczeń różnych wskaźników gry w czasie rzeczywistym. Stosując tak zaawansowaną technikę zbierania i opracowywania materiału empirycznego, wyłoniono listę wskaźników diagnostycznych [Jóźwiak 1998], które zostaną poddane głębszej analizie podczas oceny gry. Innym zagadnieniem jest wybór metody dla prowadzenia wspomnianej analizy.
Celem niniejszej pracy jest próba wykorzystania a tym samym stwierdzenia przydatności metody porządkowania liniowego według zadanego wzorca taksonomicznego dla dokonania oceny gry zespołów koszykarskich w oparciu o diagnostyczne wskaźniki efektywności i skuteczności gry (WESG). Wspomniana metoda daje możliwość uporządkowania zespołów według prezentowanego przez nie poziomu sportowego. Weryfikacja przydatności może dać podstawę do jej szerszego stosowania w grach zespołowych, nie tylko w odniesieniu do wskaźników, lecz również do pierwotnych danych.
The attempts to objectivise the play of teams are one of the directions of research in team sports games. The methods of recording, assessment and analysis of play presented by various authors are mostly based on various indicators of play effectiveness and efficacy. They are determined on the basis of information often coming from author’s observation sheets. Recently computer programmes have been generally used, which apart from performing the recording function, calculate various play indicators in real time. Using such an advanced technology for collecting and processing empirical material, a list of diagnostic indicators was selected [Jóźwiak 1998]. They will be subject to a deeper analysis in the assessment of the play. Another issue is the selection of the method for the above analysis.
The aim of this study is an attempt to use and, thus, to confirm the usefulness of the method of linear organisation according to set taxonomic model, in order to assess the play of basketball teams on the basis of diagnostic indicators of play effectiveness and efficacy (IPEE). The above method allows for organising teams according to the sports level demonstrated by them. Verification of usefulness may form the basis for its wider application in team games, not only in relation to indicators, but also to original data.
W celu prezentacji i weryfikacji metody, wykorzystano materiał empiryczny, który stanowią dane dotyczące rozgrywek I ligi męskiej w rundzie zasadniczej w sezonie startowym 1994/95. W rozgrywkach tych wzięło udział 12 zespołów, które oznaczono w porządku alfabetycznym następującymi kodami:

Ze względu na wycofanie się z rozgrywek zespołu Agro Far-u Kraśnik, w sezonie rozegrano 123 mecze w rundzie zasadniczej zamiast planowanych 132. Dla każdego zespołu zebrano dane dotyczące każdego rozegranego w rundzie zasadniczej spotkania w zakresie standardowych składników gry (SSG), których lista jest następująca [Jóźwiak 1998]:

Następnie na podstawie tych danych, zgodnie z podanymi formalnymi wzorami obliczeniowymi dla diagnostycznych WESG, wyliczono wartości tych wskaźników. Dla każdego zespołu określono później ich wartości średnie, które zestawiono w tabeli nr 1. Wartości poszczególnych wskaźników wyliczane są w oparciu o następujące wzory obliczeniowe:
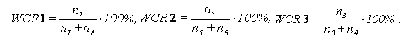
Wskaźniki celności rzutów wolnych (WCR 1), z gry za 2 (WCR 2) i 3 (WCR 3) punkty – udział procentowy liczby celnych rzutów wolnych, z gry za 2 lub 3 punkty, do liczby wykonanych rzutów wolnych oraz z gry za 2 i 3 punkty:

gdzie nk oznacza ilość wystąpień k-tego SSG.
Wskaźniki cząstkowej efektywności rzutów wolnych (EC 1), z gry za 2 (EC 2) i 3 (EC 3) punkty – wartość względna celności rzutów wolnych, z gry za 2 i 3 punkty[Dietmer i in. 1983]

gdzie m = n3 + n4 + n5 + n6 jest łączną liczbą wykonanych rzutów z gry.
Wskaźnik cząstkowej efektywności rzutów z gry (ECR) – wartość względna celności rzutów z gry

gdzie WCRG jest wartością wskaźnika celności rzutów z gry [Jóźwiak 1998].
Wskaźnik efektywności nierzutowych składników gry (WENG) –udział procentowy liczby strat do wszystkich nierzutowych pozytywnych składników gry

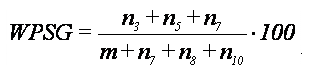
Wskaźnik praktycznej skuteczności gry (WPSG) –udział procentowy wszystkich rzutów celnych do ogólnej liczby przeprowadzonych akcji [Kłyszejko 1972]

Wskaźnik ważony widowiskowości gry (WTR) – wartość względna uzyskanych punktów oraz udziału składników gry (zbiórki, asysty, bloki, straty i niecelne rzuty z gry) do czasu gry pomnożona przez 100 oraz przez stałe c1 (dla zespołu wygrywającego) lub c2 (dla zespołu przegrywającego), spełniających warunek c1 + c2 = 1,0 o postaci

gdzie
,
gdzie TR oznacza wskaźnik widowiskowości gry (Tendex Ratings) [Jóźwiak 1998].
Wskaźnik wszechstronności gry (PPR – Players Production Ratings) – wartość sumy ważonych składników gry: celny rzut z gry, zbiórka w obronie, asysta (waga – 20), zysk, zablokowany rzut, zbiórka w ataku (waga – 15), celny rzut za 3 pkt, celny rzut wolny (waga – 10), strata piłki (waga – 20) oraz za każdy niecelny rzut z gry i rzut wolny (waga – 10). Wskaźnik ten może być wyliczany na jeden mecz (PPR 1) lub na minutę gry (PPR 2) (wskaźnik stosowany w NBA)

Rangowanie i porządkowanie zespołów koszykarskich dla wyróżnionych w tabeli 1 wskaźników efektywności i skuteczności gry przeprowadzono za pomocą syntetycznego miernika rozwoju Hellwiga[1968],pozwalającego na uzyskanie obrazu zróżnicowania badanych zespołów pod względem poziomu osiągniętych średnich wartości poszczególnych wskaźników. W tym celu wyznaczono odpowiednie odległości euklidesowe od zadanego wzorca, które następnie poddano przekształceniom normalizacyjnym w celu wyróżnienia 6 klas poziomu rozwoju zespołów koszykarskich [Nowak 1990].
Tabela 1. Wartości średnie wskaźników diagnostycznych efektywności i skuteczności gry dla poszczególnych zespołów koszykarskich
Table 1. Mean values of diagnostic indicators of play effectiveness and efficacy for individual basketball teams

Zakładamy, iż dysponujemy zbiorem wyróżnionych wskaźników dla n zespołów koszykarskich, które zawiera dwuwymiarowa macierz:


Wiersze podanej macierzy wyrażają wartości p wyróżnionych wskaźników dla kolejnych zespołów.
Algorytm wyznaczania syntetycznej miary rozwoju dla zespołów koszykarskich przeprowadza się w następujących krokach:
1º Określenie zbiorów przynależności badanych wskaźników:
S – zbiór stymulant, D – zbiór destymulant, N – zbiór nominant, przy czym za stymulanty przyjmuje się wskaźniki, których wysokie wartości są pożądane, zaś niskie niepożądane z określonego punktu widzenia, natomiast w przypadku destymulant niskie wartości wskaźników są pożądane, zaś wysokie niepożądane, w końcu nominanty wyrażają wartości wskaźników, które przyjmują wartości wokół określonej wielkości nominalnej (pożądanej).
2º Jeżeli j-ty wskaźnik należy do zbioru destymulant, to dokonujemy jego przekształcenia na wartości

gdzie a jest zadaną stałą dodatnią.
3º Jeżeli z kolei j-ty wskaźnik należy do zbioru nominant, to dokonujemy przekształcenia jego wartości na:

gdzie X 0 j jest zadaną stałą dodatnią dla j-tej cechy.
4º Obliczamy dla każdego wskaźnika jego wartość średnią oraz odchylenie standardowe:

dla j = 1,2, ..., p,
5º Dokonujemy standaryzacji obserwacji w macierzy X (po ewentualnym jej przekształceniu do stymulant, gdy występują destymulanty i nominanty), obliczając wielkości

6º Wybieramy wektor ustalonych wartości dla p wskaźników uznanych za wzorzec

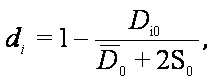
7º Obliczamy odległości euklidesowe poszczególnych zespołów od wzorca Z0według wzoru

8º Syntetyczną miarę rozwoju zespołu od ustalonego wzorca wyraża

gdzie

Otrzymana syntetyczna miara rozwoju di przybiera wartości z przedziału (0, 1). Im jej wartość jest bliższa jedności, tym silniej dany zespół jest rozwinięty względem wskazanego wzorca.
Przy dalszej analizie z wielkości di wyznacza się średnią arytmetyczną
oraz odchylenie standardowe sd. Obliczone charakterystyki służą do ustalenia 6 klas poziomu rozwoju zespołów koszykarskich:

Do wymienionych klas przyporządkowuje się zespoły, otrzymując ostateczne ich rangowanie od zespołów najlepszych do najgorszych.
Wśród zastosowanych wskaźników diagnostycznych wyróżnia się dwie grupy rodzajowe: wskaźniki o charakterze stymulant oraz destymulant. Wszystkie podane w pracy z wyjątkiem WENG są stymulantami, czyli wysokie wartości tych wskaźników są korzystne dla zespołu, natomiast dla WENG jest odwrotnie, tzn. niskie wartości tych wskaźników są dla zespołu korzystne.
Zespoły koszykarskie szeregowano według metody porządkowania liniowego, stosując porządkowanie bezwzorcowe i wzorcowe. W przypadku porządkowania wzorcowego zastosowano metodę według wzorca maksymalnego, czyli względem wartości najwyższych w obrębie każdego WESG, gdy jest stymulantą oraz wartości 40 minus wartość WENG dla destymulanty.
Analiza porządkowania liniowego zostanie omówiona w dwóch wariantach, uwzględniających następujące układy diagnostycznych WESG:
Wariant 1 (W1):
WCR 1, WCR 2, WCR 3, EC 1, EC 2, EC 3, ECR, WENG, WPSG, WTR, PPR 2,
Wariant 2 (W2):
WCR 1, WCR 2, WCR 3, ECR, WENG, WPSG, WTR, PPR 2.
W tym wariancie badaniu poddano diagnostyczne WESG, wśród których jest jeden wskaźnik WENG będący destymulaną. Jego wartości dla zespołów zostały przekształcone według schematu:

Miary stopnia rozwoju zespołów koszykarskich dla metody bezwzorcowej i wzorcowej podaje tabela 2. Obie metody dostarczają prawie tego samego porządku liniowego zespołów. Nieznaczne zmiany mają miejsce dla zespołów Z1 i Z12 oraz Z11 i Z3. Im wyższa miara rozwoju, tym dany zespół koszykarski można uważać za zespół posiadający wyższe umiejętności sportowe, wyrażone rozpatrywanym układem WESG. Czołowe miejsca zajmują zespoły: Polonii Przemyśl, Mazowszanki Pruszków, Śnieżki Aspro oraz Nobilesu Włocławek, które po rundzie zasadniczej zajmowały czołowe miejsca w tabeli rozgrywek. Najniżej sklasyfikowano zespół Polonii Warszawa i Zastalu Zielona Góra,które zajmowały ostatnie miejsca w tabeli.
Tabela 2. Miary poziomu rozwoju dla zespołów koszykarskich
Table 2. Measure of degree of development for basketball teams

Inną zaletą metody porządkowania liniowego jest przeprowadzana klasyfikacja zespołów do wyróżnionych klas poziomu rozwoju (tabela 3), która obrazuje różnice między zespołami oraz przyporządkowuje zespoły o podobnym poziomie do jednej klasy.
Tabela 3. Klasy poziomu rozwoju zespołów koszykarskich
Table 3. Development level classes of basketball teams

Analizując uzyskane podziały, zauważamy, że zarówno metoda bezwzorcowa jak i wzorcowa dostarczają zbliżonych składów zespołów koszykarskich. Zespół Z5 jest zdecydowanie lepszy od pozostałych, co wyraża się brakiem zespołów w 2 przedziale klasowym (patrz tab. 3). Wybrany wzorzec maksymalny dotyczący wartości rozważanych WESG, sprowadzonych do stymulant wraz z podaniem numerów zespołów, które te wartości osiągnęły, jest następujący: WCR1 – 77,6 (Z11), WCR2 – 61,5 (Z5), WCR3 – 43,6 (Z5), EC1 – 0,14 (Z5), EC2 – 0,86 (Z5), EC3 – 0,03 (Z11), ECR – 0,10 (Z5), WENG – 20,8 (Z5), WPSG – 54,5 (Z5), WTR – 30,4 (Z5) oraz PPR2 – 7,2 (Z5). Najczęściej wymieniany jest zespół Polonii Przemyśl (Z5) – 7 razy oraz zespół Śnieżki Aspro (Z11) – 2 razy. Dominacja zespołu Polonii Przemyśl jest wyraźna, a miara rozwoju dla tego zespołu 0,682 jest zdecydowanie wyższa od zespołu Mazowszanki (0,469) (patrz tab. 2). Dość liczna 3 i 4 klasa (po 5 zespołów) (patrz tab. 3) wskazuje, iż wiele zespołów koszykarskich reprezentowało podobny poziom sportowy, gdy ich porównanie przeprowadza się za pomocą przyjętego układu WESG. Z kolei występowanie zespołu Z6 w 6 przedziale klasowym, przy jednoczesnym pustym 5 przedziale (patrz tab. 3), świadczy o bardzo niskim poziomie sportowym zespołu w konfrontacji z pozostałymi, co potwierdza miejsce w rozgrywkach i degradację do II ligi.
Obecnie analizie poddane zostanie osiem WESG (wariant W1, lecz bez EC1, EC2 i EC3). Wynika to z powiązania – w pewnym stopniu – tych usuniętych wskaźników z WCR1, WCR2 i WCR3. Celem jest tu sprawdzenie, czy nowy zestaw 8 wskaźników będzie miał wpływ na inne uszeregowanie zespołów w klasach rozwoju. Analiza przeprowadzona zostanie z wykorzystaniem wyłącznie metody wzorcowej typu maksymalnego. Wartość wskaźników miary rozwoju oraz klasy poziomu rozwoju dla badanych zespołów zawarto w tabeli 4. Podane tam wyniki nie różnią się składami zespołów w 3 i 4 klasie od podanych przy analizie w wariancie W1 (patrz tab. 3). Wydaje się, że w omawianym tutaj wariancie W2 zaklasyfikowanie zespołów do klas rozwoju jest wyraźniejsze, gdyż czołowe klasy mają zakresy wyższe od tych, jakie podano w wariancie W1. Biorąc pod uwagę końcową klasyfikację zespołów po rundzie zasadniczej, zauważa się, iż te klasyfikacje są prawie identyczne. Oznacza to dużą przydatność metody porządkowania liniowego zespołów koszykarskich względem stopnia ich umiejętności sportowych, wyrażonych wartościami wskaźników efektywności i skuteczności gry.
Tabela 4. Klasy poziomu rozwoju zespołów koszykarskich w metodzie wzorcowej
Table 4. Development level classes of basketball teams in the model method

Bardzo dobrą weryfikacją przydatności metody porządkowania liniowego zespołów koszykarskich według zadanego wzorca taksonomicznego może być występowanie podobieństw w zakresie ustalonego tą metodą porządku a rzeczywistą kolejnością zespołów w rozgrywkach. W tym względzie dokonano analizy korelacji porządku wynikającego z rozgrywek z porządkiem ustalonym za pomocą prezentowanej metody. Zastosowano w tym celu korelację rang Spearmana. Szczegóły dokonanej analizy prezentuje tabela 5.
Tabela 5. Wartości współczynnika korelacji rang Spearmana
Table 5. Value of Spearman’s rank correlation coefficient

Przeprowadzona analiza korelacji pozwoliła stwierdzić dużą zgodność porządkowania liniowego zespołów metodą wzorca taksonomicznego dla obu wariantów z rzeczywistą kolejnością wynikającą z uczestnictwa w rozgrywkach. Zauważyć można bardzo wysoką zgodność (0,972) (patrz tab. 5), szczególnie w odniesieniu do wariantu 1. Prawdopodobnie większa ilość informacji dotycząca wskaźników efektywności i skuteczności gry dostarcza wiarygodniejszych danych o poziomie sportowym zespołów. Ze względu jednak na wysoką (0,734) (patrz tab. 5) wartość współczynnika korelacji rang Spearmana dla wariantu 2 można uznać, że przyjęty w tym wariancie zbiór WESG jest wystarczający do dokonywania obiektywnej oceny gry zespołu.
Przeprowadzona analiza pozwoliła uporządkować zespoły koszykarskie zgodnie z ich poziomem sportowym, wynikającym z uzyskanych wartości wskaźników efektywności i skuteczności gry w koszykówce. Podana kolejność wyznaczona proponowaną metodą jest bardzo zbieżna z faktyczną kolejnością tych zespołów na koniec analizowanej fazy rozgrywek. Pozwala to na stwierdzenie dużej przydatności metody porządkowania liniowego według wzorca taksonomicznego z wykorzystaniem wskaźników efektywności i skuteczności gry dla celów obiektywnej oceny gry w koszykówce. Dotyczy to szczególnie wykorzystanego w analizie wzorca maksymalnego. Potwierdzona przydatność metody w odniesieniu do wskaźników daje podstawy do przeprowadzenia badań stwierdzających jej przydatność w ocenie wyniku sportowego, z wykorzystaniem składników gry (dane pierwotne). Zasadne wydaje się w dalszej kolejności przeprowadzenie badań stwierdzających przydatność tej metody w prognozowaniu wyniku sportowego w oparciu o składniki gry.
Obliczenia w zakresie porządkowania liniowego według zadanego wzorca taksonomicznego przeprowadzono z wykorzystaniem programu własnego, udostępnionego przez profesora dr. hab. Wiesława Wagnera z Wyższej Szkoły Informatyki i Zarządzania w Rzeszowie, któremu dziękuję za otrzymaną pomoc w zakresie udostępnienia programu i konsultacji podczas analizy uzyskanych wyników.
Hellwig Z., 1968: Zastosowanie metody taksonomicznej do typologicznego podziału krajów ze względu na poziom ich rozwoju oraz zasoby i strukturę wykwalifikowanych kadr. „Przegląd Statystyczny” 4, s. 307-327.
Dietmer D., Huciński T., Jarząbek J., 1983: Metoda określania wskaźnika efektywności gry zespołu koszykówki. „Sport Wyczynowy” 11, s. 17-22.
Jóźwiak J., 1998: Identyfikacja i klasyfikacja efektywności i skuteczności standardowych składników gry oraz ich statystyczna analiza w profesjonalnej koszykówce. Praca doktorska, AWF Poznań.
Kłyszejko W., 1972: O wskaźnikach skuteczności gry w koszykówce kobiet. „Kultura Fizyczna” 1, s. 6-11.
Nowak E., 1990: Metody taksonomiczne w klasyfikacji obiektów społeczno-gospodarczych. Państwowe Wydawnictwo Ekonomiczne, Warszawa.
The performed analysis allowed to organise basketball teams according to their sports level resulting from the obtained values of indicators of play effectiveness and efficacy in basketball. The given order determined using the proposed method coincides with the actual ranking of these teams at the end of the analysed round of the tournament. This confirms the significant usefulness of the method of linear organisation according to the taxonomic model using the indicators of play effectiveness and efficacy, for the purpose of objective assessment of play in basketball. This relates in particular to the maximum model used in the analysis. The confirmed usefulness of the method in relation to the indicators forms the basis to carry out studies which would determine its usefulness in the assessment of sports performance using play components (original data). It seems justified to carry out further studies to determine the usefulness of this method in forecasting sports performance on the basis of play components.